百家乐-百家乐平台_百家乐平注常赢玩法_全讯网2 (中国)·官方网站

En

物理與光電工程學院姜維超副教授課題組在強阿秒脈沖下氦原子的電離延時機制方面取得重要進展

來源:物理與光電工程學院 發布時間:2024-11-26 17:37 點擊數: Views

近日,深圳大學物理與光電工程學院和量子精密測量研究所姜維超副教授課題組、北京大學彭良友教授課題組聯合奧地利維也納技術大學Joachim Burgd?rfer教授課題組以“Time Delays as Attosecond Probe of Interelectronic Coherence and Entanglement”為題在Physical Review Letters雜志上發表最新理論研究成果,研究首次揭示了氦原子在強阿秒激光脈沖下的電離延時機制。

2023年諾貝爾物理學獎授予了美國俄亥俄州立大學的Pierre Agostini、德國馬普學會量子光學研究所和慕尼黑大學的Ferenc Krausz、瑞典隆德大學的Anne L’Huillier,以表彰他們“開發了阿秒光脈沖的實驗方法,以研究物質中的電子動力學”。阿秒脈沖的一個重要應用是確定光電離的“時間零點”,即電離電子的波包離開離子核的時間延遲。這一過程對于理解原子和分子在強激光場中的行為至關重要。傳統的實驗技術難以捕捉到如此短暫的時間延遲,但近年來,阿秒條紋相機(attosecond streaking)和通過雙光子躍遷干涉(RABBIT)技術的出現,使得觀察阿秒量級的電離延時成為可能。受限于現有的阿秒脈沖的強度,目前的實驗測量主要針對一階微擾電離過程。

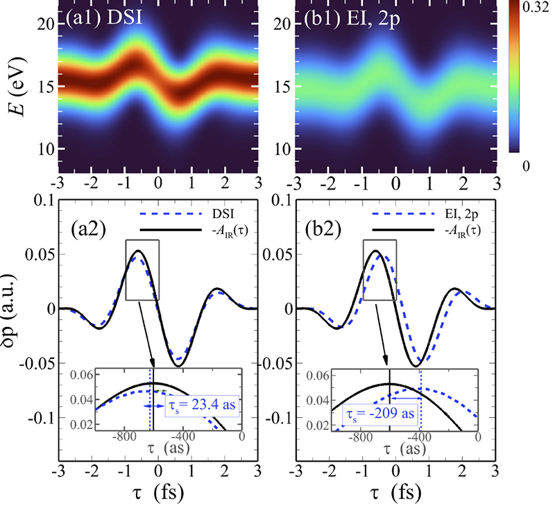
圖1:直接電離通道(DSI)與激發電離通道(EI)的阿秒條紋譜。

研究團隊通過數值精確求解含時薛定諤方程的方法,對氦原子在強阿秒脈沖下非微擾區域的電離延時以及阿秒條紋相機譜進行了理論研究。他們將阿秒脈沖的光子能量限定在40 eV。當阿秒脈沖的強度足夠高時,阿秒脈沖可以在He+的基態和第一激發態之間誘導出拉比振蕩,從而從He原子中發射兩種單電離雙電子波包。這兩種單電離雙電子波包對應的自由電子具有相近的能量,而其對應的束縛態電子則分別處于He+的基態(直接電離通道)和第一激發態(激發電離通道)。理論研究發現,兩個電離通道產生的光電子的電離延時差異很大,且均對阿秒脈沖的強度和長度十分敏感。傳統在線性微擾區域建立的電離延時圖像不再適用。為了解析這種有趣且復雜的非線性電離延時,研究團隊構建了“條件雙電子(CTE)”模型,直觀呈現了光電子的電離延時如何受到He+束縛態電子的拉比振蕩的調制。CTE模型給出的半解析電離延時結果與數值求解含時薛定諤方程得到的電離延時結果完美相符。

根據現有的實驗測量技術,同時測量自由電子的動能與束縛電子所處的能級尚有不小的難度。當實驗測量不去區分直接電離通道與激發電離通道時,實驗實際測量的是兩種電離通道非相干疊加的結果。光強較低時,實驗測量到的光電離延時反映直接電離通道的電離延時。隨著光強的增強,實驗測量到的電離延時來自兩種電離通道的共同貢獻。研究團隊將實驗測量電離延時與光強的依賴關系與光電子波包“純度”與光強的依賴關系作了對比,發現二者高度相關。因此,光電離延時可以在一定程度上反映該多體系統的糾纏度的演化。

該研究于2024年10月15號發表于Physical Review Letters,深圳大學為第一單位,深圳大學姜維超副教授為論文第一兼共同通訊作者。北京大學教授、深圳大學訪問教授彭良友為論文共同通訊作者。維也納技術大學教授、深圳大學名譽教授Joachim Burgd?rfer為論文合作者。論文作者還包括深圳大學碩士生鐘銘宸、北京大學博士生方永康、維也納技術大學Iva Brezinová教授和Stefan Donsa博士。

DOI:https://doi.org/10.1103/PhysRevLett.133.163201

澳门在线转盘| 博乐娱乐城| 百家乐投注翻倍方法| 金冠娱乐城最新网址| 百家乐视频交友| 来博百家乐游戏| 大发888真人官网| 德晋百家乐官网的玩法技巧和规则| 带百家乐官网的时时彩平台| 百家乐官网赌博分析网| 网上百家乐指| 优博百家乐官网娱乐城| 推二八杠技巧| 鄂伦春自治旗| 百家乐赌场怎么玩| 邮箱| 威尼斯人娱乐平台赌| 百家乐官网网页游戏网址| 真博百家乐的玩法技巧和规则| 太阳城 娱乐城| 宝龙百家乐官网的玩法技巧和规则 | 川宜百家乐官网分析软件| 新锦江百家乐娱乐场开户注册| 易博彩票网| 百家乐群必胜打朽法| 德州扑克 梭哈| 百家乐游戏单机牌| 罗盘对应24宿| 百家乐官网游戏辅助| 金花百家乐娱乐城| 百家乐官网的奥秘| 澳门百家乐官网上下限| 蓝盾百家乐具体玩法技巧| 扑克王百家乐官网的玩法技巧和规则| 大发888大发888娱乐城| 百家乐模拟分析程序| 百家乐官网币| 海盐县| 足球赌博网站| tt娱乐城开户| 大发888登录下载|