百家乐-百家乐平台_百家乐平注常赢玩法_全讯网2 (中国)·官方网站

En

物理與光電工程學院李朝紅團隊利用貝葉斯量子參數估計實現了原子鐘的高精度鎖定

來源:物理與光電工程學院 發布時間:2024-10-29 10:31 點擊數: Views

近日,深圳大學量子精密測量研究所和物理與光電工程學院的李朝紅團隊利用貝葉斯量子參數估計實現了冷原子相干布居數囚禁鐘的閉環鎖定,主要結果于2024年10月23日發表在美國物理協會Physical Review Applied上,并選為編輯推薦文章。編輯認為,這一工作為原子鐘鎖定提供了一種高精度方法,并且在基于干涉的量子傳感器件領域存在極有前景的應用。

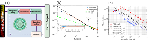
李朝紅團隊基于自主搭建的冷銣原子相干布居數囚禁鐘,利用貝葉斯量子參數估計首次在積分時間尺度上實現了海森堡標度【T^(-1)】的鐘躍遷頻率測量,并用于此原子鐘的閉環鎖定。團隊研究人員通過設計適用于原子鐘鎖定的貝葉斯量子參數估計算法【圖(a)】,利用具有指數增長積分時間的拉姆塞干涉測量序列,同時在貝葉斯迭代過程中自適應調節本地振蕩器的頻率,實現鐘躍遷頻率的測量。經過迭代,貝葉斯估計值趨于鐘躍遷頻率,在積分時間到達最大相干時間前,頻率測量的靈敏度遵循海森堡標度【圖(b)】。進一步,利用基于貝葉斯量子參數估計的鐘躍遷頻率測量,將本地振蕩器頻率直接鎖定在原子躍遷頻率上,實現了原子鐘的貝葉斯閉環鎖定。相對于傳統的PID鎖定,利用貝葉斯量子參數估計鎖定的原子鐘的穩定度提高了5.1(4)dB【圖(c)】。相比美國國家標準與技術研究院報道的穩定度1.3*10^(-11)/τ^(1/2)【Appl. Phys. Lett. 111, 224102 (2017)】、英國斯特拉斯克萊德大學報道的穩定度2*10^(-11)/τ^(1/2)【Optics Express 27, 38361 (2019)】和中國計量科學研究院報道的穩定度2.4*10^(-11)/τ^(1/2)【Chin. Phys. B 31, 043201 (2022)】,李朝紅團隊利用貝葉斯量子參數估計得到的穩定度為4.3*10^(-12)/τ^(1/2),是目前冷原子相干布居數囚禁鐘的最高穩定度。此外,基于貝葉斯量子參數估計的原子鐘鎖定對技術噪聲具有極好的魯棒性。

該成果以“Atomic clock locking with Bayesian quantum parameter estimation: Scheme and experiment”為題發表在Physical Review Applied上,深圳大學為第一單位和通訊作者單位,深圳大學助理教授韓成銀、中山大學博士生馬翥和湖北師范大學講師邱宇翔為共同第一作者,深圳大學李朝紅教授、鹿博副教授和中山大學黃嘉豪副教授為共同通訊作者。該研究得到了國家自然科學基金委員會、科技部和廣東省科技廳等機構的資助。

論文鏈接:https://journals.aps.org/prapplied/abstract/10.1103/PhysRevApplied.22.044058

万豪网上娱乐| 百家乐的路图片| 新世百家乐官网的玩法技巧和规则| 百家乐打水策略| 新葡京娱乐城官网| 誉博百家乐官网327589| 皇冠网百家乐啊| 百家乐官网赌机破解| 太阳城娱乐网sss977| 苹果百家乐官网的玩法技巧和规则 | 皇冠百家乐| 百家乐道具扫描| 澳门百家乐官网新濠天地| 钱柜娱乐城现金网| 百家乐洗码全讯网| 牟定县| 百利宫百家乐的玩法技巧和规则| 网上百家乐官网游戏下载| 大发888 dafa888 gzsums| 做生意必须看风水吗| 永利百家乐官网娱乐| 永利百家乐官网的玩法技巧和规则| 大发888娱乐游戏| 百家乐规则技法| 百家乐官网事电影| 大发888下载 df888| 大发888娱乐城网页版| 互博百家乐现金网| 百家乐官网技巧微笑心法| 澳门网上娱乐| 威尼斯人娱乐网上百家乐的玩法技巧和规则 | 大发888大发888官方| 百家乐赌机玩法| 百家乐官网ho168平台| 顶级赌场371betcwm| 百家乐官| 百家乐官网和的打法| 新澳门百家乐官网软件下载| 同花順国际娱乐城| 顶级赌场官网下载| 太阳百家乐管理网|