百家乐-百家乐平台_百家乐平注常赢玩法_全讯网2 (中国)·官方网站

En

毛艷萍研究團隊在光催化耦合微生物還原硝酸鹽方面取得新進展

來源:化學與環境工程學院 發布時間:2024-05-04 11:00 點擊數: Views

深圳大學化學與環境工程學院毛艷萍課題組在期刊《Environmental Science and Ecotechnology》(影響因子12.6,中科院JCR 1 區)上發表了題為《Enhanced nitrate reduction in hypotrophic waters with integrated photocatalysis and biodegradation》的論文。深圳大學化學與環境工程學院碩士研究生薛冰潔和田里為論文共同第一作者,深圳大學化學與環境工程學院為第一署名單位。

目前,氮污染對水環境和人體健康造成了極大威脅,城鎮污水處理廠常利用反硝化菌進行硝酸鹽的還原,以達到脫氮的目的。反硝化菌多為異養微生物,對有機碳需求量大,而反硝化過程常發生在污水處理的后段,有機碳源不足在一定程度上抑制了硝酸鹽的去除。尤其在當前污水處理廠提標擴能的大背景下,要求進一步提高污水脫氮效率,亟待開發新的污水處理工藝,以提升脫氮效果。

光催化與生物降解緊密耦合技術(Intimatelycoupling of photocatalysis and biodegradation, ICPB)結合了光催化反應和微生物處理的優點,是一種新型的去除生物難降解污染物的技術,研究表明ICPB對硝酸鹽具有較好的還原效果。然而,ICPB在低碳條件下還原硝酸鹽的效果尚不明確,其微生物代謝機制及菌群結構功能變化需進一步研究。因此,本研究制備了促進硝酸鹽光催化反應的催化劑,馴化了穩定高效的生物膜構建ICPB體系。利用物化表征測試手段和分子生物學方法探究不同影響因子對ICPB去除硝酸鹽的效果,揭示低碳條件下系統中光催化與微生物降解的協同作用機理,闡明微生物的菌群結構和功能變化規律,為低碳水體中硝酸鹽的還原提供了科學依據和技術支持。

圖1 ICPB載體和反應器示意圖

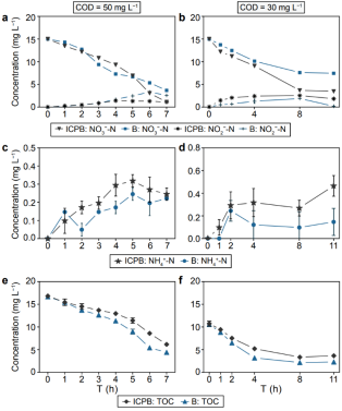
本研究共制備了12種光催化劑,其中以硫脲作為前驅體制備的g-C3N4,與TiO2以1:2比例復合制備的TiO2/g-C3N4具有最好的硝酸鹽還原效率。形貌表征結果證實了g-C3N4與TiO2的有效結合,且該催化劑具有最低的光生載流子復合速率和最窄的禁帶寬度,為其優異的光催化性能提供了保障。使用該催化劑搭建ICPB反應器用于還原硝酸鹽,發現與傳統生物降解相比,ICPB可以將硝酸鹽還原效率提高17%,氮轉化效率提高11%。在低有機碳條件下,ICPB利用比生物降解少12.2%的有機碳,能將硝酸鹽還原率提高26.3%。此外,ICPB還能有效提高氮氣生成效率,抑制不良中間產物的積累。

圖2 十二種光催化劑的硝酸鹽還原曲線

(T:硫脲;M:三聚氰胺;D:二氰二胺;U:尿素;比例為TiO2: g-C3N4

圖3 ICPB和生物降解(B)過程中NO3?, NO2?(a, b), NH4+(c, d) 和 TOC (e, f)的濃度變化

通過對細菌群落的多樣性分析發現,在ICPB反應后微生物群落的豐富度和均勻度下降,功能性細菌可能被富集。通過微生物群落分析發現,隨著ICPB循環次數的增加,在氮循環中起重要作用的菌屬逐漸占據主導地位。此外,系統中的厭氧代謝逐漸取代了好氧代謝。系統的微生物群落朝有利于硝酸鹽還原的方向演變。

圖4 ICPB反應前后相對豐度大于1%的優勢菌屬

為進一步探索微生物群落中氮代謝功能的變化,本研究分析了與氮循環相關的代謝通路與功能基因,發現ICPB反應后與氮循環相關的代謝通路和功能基因豐度均顯著增加(圖5)。此外,本研究還推斷了ICPB系統中可能存在的硝酸鹽代謝途徑(圖6)。通過對反硝化代謝相關基因的定量分析,ICPB系統在基因水平上對氮的去除潛力得到了證明,這有利于進一步研究ICPB的反硝化機制。

圖5 ICPB反應前后與氮循環相關的代謝通路和功能基因變化

圖6 ICPB體系氮代謝通路模型

本研究得到了廣東省自然科學基金、深圳市自然科學基金(高等院校穩定支持計劃)的支持。

原文鏈接:https://www.sciencedirect.com/science/article/pii/S2666498424000048

百家乐官网娱乐城赌场| 百家乐官网赢家打法| 金海岸百家乐的玩法技巧和规则 | 阴宅风水24山分房| 大发8880634| 娱乐城百家乐规则| 百家乐官网视频连线| 圣淘沙百家乐娱乐城| 新濠天地娱乐城| 百家乐赌博在线娱乐| 赌场百家乐官网信誉| 威尼斯人娱乐城真人百家乐| 仕達屋百家乐官网的玩法技巧和规则| bet365网址yalanad| 百家乐澳门路规则算法| 百家乐官网现金网开户平台| 宝都棋牌游戏| 百家乐真钱游戏下载| 菲律宾百家乐| 八大胜百家乐的玩法技巧和规则 | 房山区| 大发888中文官网| 百家乐投注很好| 大发888登陆网页| 百家乐赌场占多大概率| 现场百家乐官网能赢吗| 鸿运国际| 澳门百家乐怎赌才能赚钱| 广州百家乐官网赌城| 巴彦淖尔市| 香港六合彩报码| 真人百家乐作假视频| 连环百家乐官网怎么玩| 百家乐官网路纸表格| 正品百家乐玩法| 百家乐发牌的介绍| 女神百家乐官网的玩法技巧和规则| 百家乐官网游戏算牌| 大发888官方正版网| 百家乐视频游戏挖坑| 正宗杨公风水24山分金|